荧光定量PCR(qPCR)技术教程4:cDNA质量如何把控-商家动态-资讯-生物在线

荧光定量PCR(qPCR)技术教程4:cDNA质量如何把控

作者:上海魔兜儿生物科技有限公司 2025-10-16T00:00 (访问量:22779)

cDNA是qPCR的模板,cDNA的质量直接影响定量PCR(qPCR)的结果。提到cDNA,大家可能会用Nanodrop来测定其浓度和纯度,这样做真的是正确的吗?cDNA质量控制的关键又是什么呢?今天,我们就来了解下如何把控cDNA质量。

 

cDNA要用Nanodrop测量浓度和纯度?

 

用Nanodrop测量cDNA浓度和纯度,这是常见的误区之一。

 

首先,cDNA浓度难以准确定量。逆转录后的产物本身是一个混合体系,含有cDNA、未完全逆转录的RNA、dNTP、残余的引物以及各种蛋白和盐离子等成分,会干扰cDNA的吸光度,影响cDNA浓度的检测结果。

 

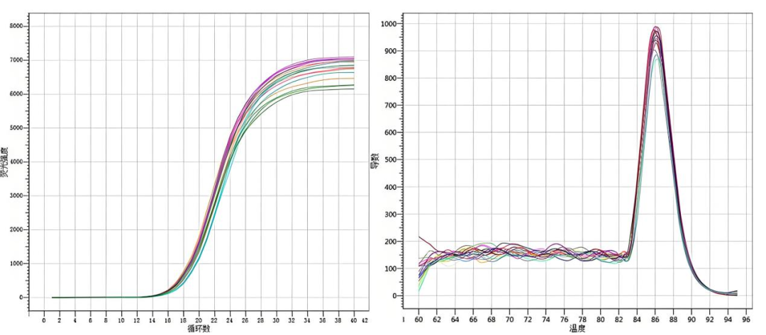
其次,cDNA浓度并不影响qPCR实验最终Ct值。我们以小鼠肌肉组织RNA为模板,用不同试剂盒(dNTP 组分按1 μL / 1.5 μL /2 μL /2.5 μL添加量的梯度检测)分别进行逆转录实验,起始RNA为500 ng。最后采用Nanodrop测定cDNA浓度,并取相同量cDNA分别进行qPCR实验,结果证明:

 

不同逆转录产品的cDNA浓度相差较大,但定量实验Ct值几乎一致。也就是说,逆转录体系中dNTP 投入量的多少不会影响最终Ct值。

 

综上,用Nanodrop测量cDNA浓度和纯度是没有必要的。

图1. qPCR检测结果△Ct<1,且最终Ct值与Nanodrop定量结果无线性关系

 

质量把控关键:gDNA污染的识别与去除

 

gDNA的污染主要来源于RNA模板,只要保证RNA模板中没有gDNA残留,一般就不会造成gDNA污染。

 

那如何识别RNA模板中是否仍含有gDNA残留呢?可以通过在逆转录之前将RNA模板进行琼脂糖凝胶电泳来验证。

 

如下图所示,泳道上部有明显的杂带,条带拖尾严重模糊不清,则显示可能有gDNA的残留,不建议用于后续的qPCR实验,会对实验结果造成影响。

图2. 高质量RNA(左)和RNA中有gDNA(右)

如果逆转录前没有确认模板中是否含有gDNA,可以在qPCR实验中设立NRC阴性对照组(以未逆转录的RNA作为模板,不添加逆转录酶)验证,如无gDNA污染,NRC是不会扩增的(Ct值>35);如果NRC扩增(Ct<35),而体系中无cDNA,则说明扩增是由gDNA产生的,有污染。

 

那么发现了gDNA污染该如何去除呢?针对于此,目前主要的解决办法是:在RNA提取时或逆转录前用DNA酶或gDNA清除剂去除。Arcegen CleanRNA脱氧核糖核酸酶I(2 U/uL)(N120005)可对提取后的RNA进行处理,制备无dna RNA,从源头解决困扰;快速一链cDNA合成反转录预混液(含gDNA消化,用于qPCR)(N132062)、一链cDNA合成反转录预混液(含gDNA消化,用于qPCR)(N132061)、快速gDNA消化与反转一步法预混液(用于qPCR)(N132063),试剂盒中包含了gDNA消化液,可以在逆转录前去除gDNA,十分便捷。

 

产品推荐

产品应用 产品名称 产品货号
在RT-PCR和RT-qPCR反应前制备无 dna RNA

CleanRNA DNase I (2U/uL)

CleanRNA 脱氧核糖核酸酶 I (2 U/uL)

N120005
5min 完成 gDNA 消化与反转,最少仅需 10PgRNA,兼容高 GC 样本

Fast lst Strand cDNA Synthesis SuperMix(gDNAdigesterplus,forqPCR)

快速一链CDNA合成反转录预混液(含gDNA消化,用于 qPCR)

N132062
经典版 15min gDNA消化与反转,高性价比

1st Strand cDNA Synthesis SuperMix

一链CDNA合成反转录预混液(含gDNA消化,用于 qPCR)

N132061
一步完成 gDNA 去除和反转录,消化&反转仅需 5min,100 PgRNA 反转录结果也能保证

FastRT-gDNA Digestion Oneshot SuperMix (for qPCR)

快速 gDNA 消化与反转一步法预混液(用于qPCR)

N132063
上海魔兜儿生物科技有限公司 商家主页

地 址: 申江南路4388号1幢2层208室

联系人: 孟醒

电 话: 18901677703

传 真:

Email:cmeng@magibagbio.com

相关咨询
ADVERTISEMENT